雷火竞技

技术文章您现在的位置:首页 > 新闻资讯 > 技术文章 > ASM角度传感器在变频调速系统中的应用
ASM角度传感器在变频调速系统中的应用
浏览次数:5448      发布于:2018-12-07

  ASM角度传感器,是测量物体旋转角度、可以利用角度变化来定位物体位置、反馈张力的一类电子部件,在工业生产中应用范围很多。随着技术日新月异的发展,民用场景正在成为新型角度传感器大显身手的领域,如各种智能手机、穿戴装置和无人机等的酷炫应用。

  在有变频调速应用的工业生产场合,我们可以通过角度传感器将设备工作状态转换成电压信号给变频器,比如速度、位移、形变、倾角等,从而通过变频器对电机转速进行预设的调整,或实现控制设备的启动和停止,以达到规定的设备运行指标。

  ASM角度传感器原理

ASM角度传感器

  常规工业用ASM角度传感器外型图

  这里先介绍一下关于角度传感器灵敏度的选择,角度传感器的灵敏度即分辨率。一般模拟量输出的角度传感器的灵敏度和它的量程以及输出信号有关。量程相同的,输出信号跨度越大,相对的灵敏度越高。比如量程相同的0~10V输出角度传感器就比0~5V输出的角度传感器灵敏度高。我们在选择的时候也要根据我们采集系统和控制系统来选择合适的灵敏度,决定选择多少精度的传感器。

ASM角度传感器

  ASM角度传感器原理图

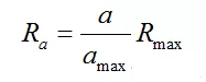
  图所示为电位器式角度传感器。作变阻器使用,则电阻与角度的关系为

ASM角度传感器

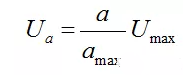
  作为分压器使用,则有

ASM角度传感器

  ASM角度传感器的应用实例

  绕线机张力收卷变频调速控制系统是一种典型的利用角度信号反馈的闭环系统。

  在简易的张力收卷方面,通过角度传感器反馈信号给变频器,变频器进行PID运算,可以进行张力控制,提升收卷质量。

ASM角度传感器

  系统图

  某大型化纤厂以变频调速升级替代了旧的励磁调速系统,带来工艺控制上很大的飞跃,并提高产品品质。

  方案优点:

  1,通过角度传感器反应张力,变频器自动调节转速,提高绕线质量

  2,相对励磁调速,采用角度传感器+变频器具有节能的作用。

  3,采用角度传感器,当出现断线时,变频器即使反馈故障,减少绕线废品率

  4,变频器具有过压,过流,过载,过热保护,减少电机故障率

  ASM角度传感器应用技术广泛,张力控制只是其中的一部分,更多的控制方式还需要我们工控人不断的发掘,开拓。2017三晶电气与您同行,共同开拓新领域。

0755-83233703 info@lyqzys.com