雷火竞技

技术文章您现在的位置:首页 > 新闻资讯 > 技术文章 > 测量系统ABB张力计的制作材料与运作原理详解
测量系统ABB张力计的制作材料与运作原理详解
浏览次数:5286      发布于:2018-11-30

  ABB张力计的传感头由铁磁材料制作而成,该传感器的中央有2组线圈成一定角度穿透过铁磁材料,这2组线圈分别叫做次级线圈和原线圈,在原线圈中通以稳定的交流电流,当传感头受压时,导致铁磁材料中次级线圈的磁场发生变化,从而在次级线圈中产生一个交变电流,这个电流通过整流按比例以直流输出。

  ABB张力计的组成:

  如下图所示:一套完整的ABB张力计由两个压头和一个处理单元(包括控制单元、隔离放大器和接线端子箱)组成,压头一般安装在导向辊(有时也叫测张辊)轴承座和机械框架之间。当带钢以一定的包角通过导向辊时,由于带钢的张力作用两个压头分别会产生一个压力信号,该压力信号送到处理单元处理后转换为带钢的张力,然后通过Profibus接口送到自动化系统用于带钢张力的闭环控制。

ABB张力计

  ABB张力计的测量原理:

  压头是一个焊接钢装置,一般有两种类型的压头:水平类型和垂直类型。当带钢以一定包角通过测张辊时,带钢的张力T将产生两个分量,一个是垂直方向的分量FV,另一个是水平方向的分量FH。如果我们选用水平类型的压头,则可以测出FH;如果我们选用垂直类型的压头,则我们可以测出FV。另外,测量辊和带钢的包角可以获得,从而我们可以计算出带钢的张力。下面分别给出水平类型和垂直类型压头的测量原理:

  垂直类型压头测量原理

ABB张力计

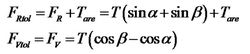
  如上图所示:和水平类型的压头类似,测量力取决于带钢张力T和包角。另外,它和水平类型压头所不同的是测量力还有一部分来自导向辊及轴承的重量,通过内部的电子补偿我们可以得到一个与带钢张力成正比的测量信号。测量力由下列方程计算:

ABB张力计

  其中:FR: 在测量方向的张力分量

  Frtol: 在测量方向的合力

  FV: 垂直于测量方向的张力分量

  FVtol: 垂直于测量方向的合力

  T: 带钢张力

  Tare: 辊子及轴承的重量

  α、β: 导向辊和带钢的包角

  水平类型压头测量原理

ABB张力计

  如上图所示:压头测量力的大小,一部分取决于带钢的张力T,另一部分取决于带钢的包角,由下列方程式决定:

ABB张力计

0755-83233703 info@lyqzys.com